大家好,我是励志精通只狼却还是菜鸟的Last火玄神后面还有一个点,今天给大家带来的是小黑盒独播的连载系列:只狼机制系列的第五期—只狼的成长机制
雀食是自己做的名片,一毛钱不花
一、前言
据上一篇只狼文章已经过了将近三个星期了,终于是打完黑魂来继续只狼区的文章耕耘。#菜鸟只狼#
这一期文章也是很基础的机制分析,众所周知魂系列游戏有三方面的成长:
第一是最重要的玩家的技术成长,二是游戏难度的成长,三是角色属性的成长。第一个成长我们苇名三绝系列也算是分析完了,于是今天我们来谈谈后两个成长机制。(这期不是很实用但比较硬核,数据分析偏多)
Last火玄神丶只狼文章合集(实时更新)
强烈推荐一苇名三绝,萌新们看完应当有不少收获
二、成长属性
所谓成长属性,也就是会随着游戏变化的属性,但是是有规律可循的不可逆的变化(非随意)。
那么到底有那些可以算是成长属性呢?我们这里依然要分两大类讨论
狼的成长属性:
血量,葫芦数量,攻击力,躯干值(躯干回复),等级(经验值)
还有就是游戏中的成长属性:
双难(敲钟,交符),天色系统,周目
这些就是我们接下来需要分析的东西了,大家可以先对比一下游戏中的自己,是不是有这些成长属性的影响
三、狼的成长之旅
下面我们详细解析一下狼的成长机制
(1)血量
首先大家知道血量是通过什么增加的吗?很多高周目玩家可能都没有印像了,其实随着我们收集到佛珠,每四颗佛珠在鬼佛那里升级之后(共十次升级),我们的生命值就能得到相应的提升。那么这个提升也是很明显的能被我们观察到,具体数值我们参考一下设定书中的图片
初始10体力时,我们大概是350HP,每升一级体力加80HP,最后为1120
同时葫芦的回血也和血量无关,我们可以通过击杀两只赤鬼和火牛,并且点满技术书中的两个技能点来使葫芦的回血量得到五次提升
(2)攻击力
经常可以看到十体一攻的大佬视频,挑战自我。但也总有云玩家在只狼视频中刷99攻击力赖皮这种弹幕。
但是我这里告诉大家我们的攻击力和攻击倍率其实是不成正比的,也就是说我们的攻击倍率成长是非线性的。请看下图
可以看到我们的攻击力加到99点,但是攻击倍率才达到了7点几倍,所以99攻击力真的不是很赖皮,高周目boss得伤害包括血量躯干都是远远高于低周目的,99攻击力并没有给玩家带来多少便宜。
同时我们可以观察到,攻击力在14时,我们的攻击倍率达到了4.25倍,同时这也是攻击倍率获得收益最大的时刻(斜率最大)。
这也是很多玩家在二、三周目感到游戏简单的原因,因为这段时间我们受到的攻击力加成收益最大,同时有了一周目的经验积累,打起来就像开了无双。
(3)躯干值
躯干的成长肯定是有的,但是却没有明确的数值表现。
其实躯干也是通过佛珠增长的,也就是说我们血量增长时,躯干值也跟着增长,同时躯干恢复速度也会跟着增长。
一开始我们大概是120的躯干值,每升一点体力我们就可以获得大概30点躯干值,最终可以达到420的躯干值。
但是高周目双难玩家都知道躯干值仅仅就是一个数值,没有什么意义,满躯干作战那是再正常不过了。
躯干回复速度也会跟着躯干值涨,但是一般都是血量健康时四秒回满躯干,大概是40到105每秒的回复量,每升一次加7.5/s的恢复速度
这里之所以要提到血量健康,就是因为血量影响我们的躯干回复速度(敌人也受此影响)
HP在50-75%时,躯干的恢复速度是75%
HP在25-50%时,躯干的恢复速度50%
HP在25%以下时,躯干恢复速度25%
(4)等级
等级有成长是在正常不过的事情了,但是很少有人把这方面搞出来讲一讲,很多玩家都知道每升一级的经验值都不一样,并且会越来越多,事实也确实是这样子,但只能说并不准确。
数据上我们需要分为两段讨论,首先是1-25级,这个是前期,所以对应的每升一级需要的经验值应当被设计较低,所以这个等级段,我们的经验值是呈线性增长。
但一旦超过了25级,我们的每升一级的经验值增长就会狂涨,具体计算公式应当是
每升一级经验值=0.02x³+2.3608x²+39.96x-1893.5
那么我们就可以做出这样一条曲线(图为零悠悠大佬利用软件所作)
顺便搞一下魂三的经验曲线,和只狼一样比较顺滑,都是FS社常用的新人上手机制,前期让你过得舒服,提供一些基本保障,后期再来搞你。
四、游戏中的成长机制
(1)周目
(a)血量与躯干
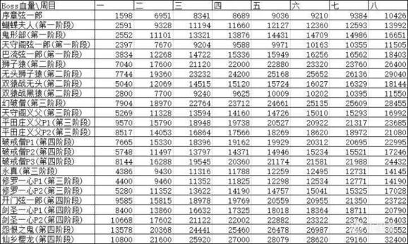
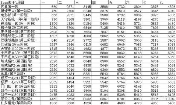
首先最明显的就是周目了,随着周目的增长,敌人的血量,躯干,躯干回复速度和伤害都有大幅度的提升,这些都是我们可以很明显感觉到的,其中BOSS最为明显且值得我们探讨
首先是八周目各位boss的血量,躯干,躯干回复速度数值
同时很有意思的一点就是只狼周目间的难度连接,非常的平滑,具体我们下一篇天色系统的文章再好好说说。
这里给一张与阶段无关的敌人血量躯干计算图
如果是计算敌人的攻击力,那么我们把a全部用一带入就能得到倍率(就是所有人的a=1)
以后有机会我会做一期全BOSS的数据向分析,给大伙好好讲讲什么叫对症下药
(b)抗性与韧性
抗性与韧性是很容易被忽略的两个点,在参考了琐帝BNU的一篇名为【只狼】异常抗性随周目变化的文章,文章很简单,简明扼要的提出了不同周目中不同敌人的抗性变化。
首先如果是一周目,那不管我们交没交符,敌人的毒抗和火抗都是原始数据
但是如果不是一周目,也就是高周目,那么首先+10%的毒抗;如果还交了护身符,那么就是+35%的毒抗。
可以明显的看出,炎属性抗性和怖属性抗性无论周目还是是否交符,都没有任何变化。
至于韧性是没有变化的,打满我们就可以让兽形态敌人陷入巨大硬直,没任何问题。(话说有人想看一期讲韧性的文章吗?)
(2)双难
很多新玩家不知道什么是双难,所谓双难就是交符+敲钟,我们分别讨论下这两个举动带来的效果
(a)交符
首先是交符,交给九郎护身符后,如果不完美弹反敌人的攻击,我们就会受到伤害,数据上我们是减少30%防御力,也就是格挡敌人攻击时,我们会收到此攻击30%的伤害。
同时敌人的血量和躯干等等也都有加强,具体请看下表
越是普通的小兵,数据加成便越大,然而BOSS却没有任何加成。也就是说交符数值加成方面的苦难体现在推图而不是BOSS战。这么一想也挺合理,本来BOSS战的难度就过大,此时再加强一下与推图的 难度就失衡了
有意思的是,如果我们不选择交符,游戏依然会给我们提供一些系列的福利和难度加成,但这些都是在所有数据结算后所进行的结算,具体如下图
有一说一,这个超级穿甲伤害我还真不知道是什么,有无懂哥在评论区里说一下
总结一下:交符给的难度不仅仅是30%的防御力削减,更恶心的是各种敌人的伤害补正,这点很重要但却经常被人们忽略
(b)敲钟
敲钟本篇文章中我们不多说,它的本质是吧游戏的阶段往后推一个阶段,详情我们下一篇天色机制中详细分析。
首先我们要知道,游戏一共有四个阶段:白天,中午,黄昏(逢魔之时),晚上
每个阶段其实敌人的强度都是不一样的,总体的趋势是越来越难。
而敲钟的作用就是在不改变剧情和天色(只是视觉上不该变)的情况下,将你目前所处的阶段+1。也就是说本来只有四个阶段,可以通过敲钟增加到2-5阶段,而不是说敲钟有什么固定的数值加成,而是他把阶段推后,(后期敌人更加强大,掉落物品更好,奖励也大),导致我们的难度和收益都有所提高。
具体呢我还是想在下篇文章中好好联系天色讲一讲。
(3)天色系统
我们下一期好好讲一下,这个我自认是只狼设计中最为出色的机制之一,突破了魂游的桎梏,算得上魂游的一大创新(虽然是宫崎英高借鉴的其他动作类游戏)但依然掩盖不了这个机制的光芒,下期我们好好谈一谈
上图是交符情况下,五个阶段对应的敌人加强和我们的收益,钟表的图像代表的是敲钟才能到达的第五阶段;而左边的那么多英文,对应的是不同区域的敌人的加成,也就是说地区间的加强是有差异的。
这里还有个好玩的点,就是敲钟不一定会让游戏变难,不信你就看第三行敌人血量躯干与躯干回复的前两个数据,很明显一阶段是335%,但是此时我们敲了钟,就直接变成二阶段320%了。
数值反而是减少了,这点也说明了敲钟的本质只不过是抬高游戏阶段,没有确定的说会增加难度。
五、后话
这期内容呢主要是一个基础知识的介绍,算的上是科普文吧,科普的同时也不晦涩难懂,让大家了解一下游戏背后这些数值堆叠的真正机制是什么。
虽说雀食不实用,但学会了我们就比那些没玩过游戏却喜欢乱叫的只狼云玩家厉害多了,每当他们用99攻击力恶心我的时候,我们则是可以轻松的用文中知识反驳他们,也算是给我们据理力争提供了知识的基础吧
PS:明天更新下一期天色系统,挑战一下只狼中最为困难的机制讲解之一,搜寻资料ing
文中部分观点借鉴贴吧汉尼拔125大佬与知乎魂游大佬零悠悠,还有🔒DBNU,他们才是真正的大佬,希望有一天能达到他们的高度
很喜欢他的一句话,前人种树
我是励志精通只狼却还是菜鸟的Last火玄神后面还有一个点,我们明天再见(感谢大家支持)









